Notice
Recent Posts
Recent Comments
Link
일 | 월 | 화 | 수 | 목 | 금 | 토 |
---|---|---|---|---|---|---|
1 | 2 | 3 | 4 | |||
5 | 6 | 7 | 8 | 9 | 10 | 11 |
12 | 13 | 14 | 15 | 16 | 17 | 18 |
19 | 20 | 21 | 22 | 23 | 24 | 25 |
26 | 27 | 28 | 29 | 30 | 31 |
Tags
- resample
- Inorder Traversal
- non parametic softmax
- freebooze
- 3d medical image
- normalization
- Policy Gradient
- remove outliers
- scowl
- rest-api
- Knowledge Distillation
- objective functions for machine learning
- domain adaptation
- model-free control
- noise contrast estimation
- straightup
- Excel
- sidleup
- thresholding
- sample rows
- shadowing
- 자료구조
- loss functions
- fastapi
- Actor-Critic
- REINFORCE
- MRI
- clip intensity values
- checkitout
- pulloff
Archives
- Today
- Total
Let's Run Jinyeah
Bayes Decision Theory 본문
Prior Probability
- Probability derived by deductive reasoning
- calculated by existing information regarding a situation, and thus may vary depending the given situation
- ex) 특정 fish image가 돔(S1)에 속할 확률
Class-conditional Probability / Likelihood
- probability density function for X(feature), given that the corresponding class is Si
- also called Likelihood of Si with respect to X
- ex) 돔(S1)일 때, 몸 너비(X)가 x일 확률
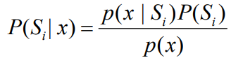
Posterior Probability
Probability of Si when feature x is given
the main target for minimization of classification error
ex) 몸 너비(X)가 x일 때, 돔(S1)일 확률
[Binary Classification] Bayes Decision Rule for Minimum Error
1. Error Probability distribution function
2. Decision Boundary / Decision Rule
- aim to find a decision boundary that minimizes the probability of binary classification error
3. Relation to the posterior probability
- Bayes rule for minimum error chooses bigger posterior probability
4. Insight
- 분류 문제에서 우리는 feature가 주어졌을 때 해당 feature가 어느 class 속하는지 구해야한다. 즉 posterior probability를 구해서 가장 높은 확률값을 가지는 class를 정답값으로 예측한다. 하지만 posterior PDF를 모델링하는 것이 까다롭기 때문에 prior probability와 likelikhood의 조합을 사용한다.
5. Extenstion to multi-class classification
'Deep Learning > Theory' 카테고리의 다른 글
Transfer Learning and Domain Adaptation (0) | 2022.08.10 |
---|---|
Entropy and Cross-Entropy (0) | 2022.07.31 |
Normalization (0) | 2022.06.18 |
Objective function/Loss function (0) | 2022.05.10 |
Variance & Bias (0) | 2021.08.30 |
Comments